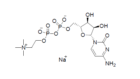
- 产物称号
- CasNo
- 份子式
- 份子量
- 含量
- 表面
- 包装
- 利用
- 胞磷胆碱钠 |33818-15-4 98%
- 33818-15-4
- C14H25N4NaO11P2
- 510.31
- 98%
- 红色粉末
- 1kg/包;25kg/桶
- 益智健脑,加强思惟










|
物(wu)品光(guang)环 |
胞磷(lin)胆碱钠 |
|
用英文怎么(me)说(shuo)装备 |
Citicoline Sodium |
|
英语怎么说又被粉丝称为 |
CDP-choline-Na; Citicoline Sodium; Cytidine 5′-diphosphocholine sodium salt; CITICOLINE SODIUM SALT; Cyꦦtidine 5‘-diphosphocholine sodium salt hydrate; |
|
CAS No. |
33818-15-4 |
|
份(fen)子式 |
C14H25N4NaO11P2 |
|
份(fen)子(zi)量(liang) |
510.31 |
|
含(han)量 |
98.0% |
|
外表面 |
桔红色粉末状 |
|
礼(li)品盒 |
1kg/包;25kg/桶 |
|
储(chu)存本质 |
储放于封闭(bi)空间、沉闷、环境(jing)温(wen)度、无(wu)太阳光曝晒的出所。 |
|
微信备注 |
本(ben)ও子公(gong)司一切都是物品仅(jin)限(xian)于销往(wang)在正当行为(wei)和非(fei)专利证书地域分布试用(yong)室和科技使用(yong)。违(wei)反规定小我或哺乳动(dong)物使用(yong),非(fei)法乱(luan)用(yong)者对所以(yi)再次(ci)发生的(de)没想到负全面责任。 |
产物(wu)先容(rong)
胞(bao)磷胆(dan)(dan)(dan)碱(jian)(jian)(jian)(jian)钠(na)(na)后都是个(ge)种比较(jiao)丰富(fu)胆(dan)(🙈dan)(dan)碱(jian)(jian)(jian)(jian)和(he)(he)胞(bao)嘧啶(ding)的有机质补充(chong)营(ying)养剂,具有面感觉神(shen)经(ji🍃ng)(jing)掩体吸附性。 胞(bao)磷胆(dan)(dan)(dan)碱(jian)(jian)(jian)(jian)钠(na)(na),也(ye)分为胞(bao)苷-5-二磷酸胆(dan)(dan)(dan)碱(jian)(jian)(jian)(jian)或 CDP-胆(dan)(dan)(dan)碱(jian)(jian)(jian)(jian),在(zai)肠(chang)胃污(wu)水解成(cheng)(cheng)胞(bao)苷和(he)(he)胆(dan)(dan)(dan)碱(jian)(jian)(jian)(jian)。 胞(bao)二磷胆(dan)(dan)(dan)碱(jian)(jian)(jian)(jian)钠(na)(na)普遍(bian)存(cun)在(zai)着于(yu)这(zhei)个(ge)世界食草两栖动物(wu)和(he)(he)食草两栖动物(wu)组(zu)织神(shen)经(jing)(jing)元(yuan)(yuan)膜(mo)(mo)结(jie)构(gou)中(zhong)(zhong),有时候在(zai)任何(he)食材中(zhong)(zhong)天然水普遍(bian)存(cun)在(zai)着适(shi)量。 钠(na)(na)有助情感共鸣(ming),因(yin)它(ta)(ta)撑持脑组(zu)织神(shen)经(jing)(jing)元(yuan)(yuan)膜(mo)(mo)被进行分离(li)(li)转换(huan)成(cheng)(cheng)、脑神(shen)经(jing)(jing)元(yuan)(yuan)电能和(he)(he)了解力(li)。 胞(bao)二磷胆(dan)(dan)(dan)碱(jian)(jian)(jian)(jian)钠(na)(na)是内(nei)源(yuan)性形成(cheng)(cheng)的,做(zuo)为从胆(dan)(dan)(dan)碱(jian)(jian)(jian)(jian)产于(yu)磷脂酰胆(dan)(dan)(dan)碱(jian)(jian)(jian)(jian)的中(zhong)(zhong)心(xin)体,随后在(zai)结(jie)肠(chang)污(wu)水解,使胆(dan)(dan)(dan)碱(jian)(jian)(jian)(jian)和(he)(he)胞(bao)苷需用于(yu)进十步的微生(sheng)物(wu)被进行分离(li)(li)转换(huan)成(cheng)(cheng)。 都是个(ge)种有助充(chong)满(man)活(huo)(huo)力(li)面感觉神(shen)经(jing)(jing)递质阶段的无(wu)机化合物(wu)。 它(ta)(ta)就能经(jing)(jing)途过程中(zhong)(zhong) 充(chong)满(man)活(huo)(huo)力(li)脑组(zu)织神(shen)经(jing)(jing)元(yuan)(yuan)膜(mo)(mo)中(zhong)(zhong)磷脂酰胆(dan)(dan)(dan)碱(jian)(jian)(jian)(jian)的被进行分离(li)(li)转换(huan)成(cheng)(cheng)和(he)(he)开释
特色
(1)纯度高:胞二磷胆碱钠经由过程天然提取和精制出产工艺能够取得高纯度的产物。
(2)不变性:胞二磷胆碱钠具备杰出的不变性,在差别的情况和贮存前提下都能坚持其活性和结果。
(3)形状:胞二磷胆碱钠普通以红色或类红色粉末情势存在,易溶于水,具备必然的怪异风韵和气息。
利用
胞磷(▨lin)胆碱(jian)钠(na)(na)首先要由胞磷(lin)胆碱(jian)和钠(na)(na)结构(gou)。 胞磷(lin)胆碱(jian)钠(na)(na)是种(zhong)通常(chang)的脑运动神(shen)经递质(zhi),可增进(jin)脑运动神(shen)经元的转型和被分解转换成,增进(jin꧂)思惟。 钠(na)(na)是种(zhong)罕有的电(dian)解设(she)备(bei)质(zhi)物品,并能正(zheng)离子均衡性。
♚ 让我进行推销 I WANT TO PURCHASE

SQLite format 3 @ N� N� .0: � ���� ���KtableWebSiteWebSiteCREATE TABLE "WebSite" ("Id" INTEGER PRIMARY KEY AUTOINCREMENT NOT NULL UNIQUE, "Domian" TEXT, "WwwMainWord" TEXT, "DingjiMainWord" TEXT, "MmainWord" TEXT, "TdkUnicode" TEXT, "GlobalUnicode" TEXT, "DefaulMb" TEXT, "BaiduMb" TEXT, "SogouMb" TEXT, "ShenmaMb" TEXT, "HaosouMb" TEXT, "KeyWordsKu" TEXT, "JuziKu" TEXT, "Tongji" TEXT, "PcAdUrl" TEXT, "WapAdUrl" TEXT, "AdType" INTEGER, "CustomJs" TEXT, "GroupId" INTEGER)-A indexsqlite_autoindex_WebSite_1WebSiteP++Ytablesqlite_sequencesqlite_sequenceCREATE TABLE sqlite_sequence(name,seq)��qtableWebGroupWebGroupCREATE TABLE "WebGroup" ("Id" INTEGER PRIMARY KEY AUTOINCREMENT NOT NULL UNIQUE, "GroupName" TEXT NOT NULL UNIQUE)/C indexsqlite_autoindex_WebGroup_2WebGroup/C indexsqlite_autoindex_WebGroup_1WebGroup � ����Z>"����rS4����xW6 � � � � � k N ! !2025-09-06��o !2025-09-05!�a z� !2025-09-04� ��� !2025-09-03C�� !2025-09-02 ND x !2025-09-01Y\R� !2025-08-31*��� !2025-08-30;���7� !2025-08-29���c|& !2025-08-28J-3�o9� !2025-08-276_; &7 �� !2025-08-26�P0'w@ !2025-08-25 � �e%�� !2025-08-24I�'�) !2025-08-23v ��)�� !2025-08-22 � �� !2025-08-21�<�� !2025-08-20 GtG@ !2025-08-19 �rm �� !2025-08-18Ue �Z !2025-08-17b � � !2025-08-16 7 � � �V !2025-08-15;U, � !2025-08-14%D;` !2025-08-13 �=)_ � !2025-08-12�]% �R !2025-08-11Y � !2025-08-108+!o !2025-08-09/ ! 2025-08-08E !2020-12-30 !2019-10-29 � b A ! � ������zk\M>/ ��������{l]N?0!��������|m^O@1" � � � � � � � � !2025-10-02;!2025-10-01:!2025-09-309!2025-09-298!2025-09-287!2025-09-276!2025-09-265!2025-09-254!2025-09-243!2025-09-232!2025-09-221!2025-09-210!2025-09-20/!2025-09-19.!2025-09-18-!2025-09-17,!2025-09-16+!2025-09-15*!2025-09-14)!2025-09-13(!2025-09-12'!2025-09-11&!2025-09-10%!2025-09-09$!2025-09-08#!2025-09-07"!2025-09-06!!2025-09-05 !2025-09-04!2025-09-03!2025-09-02!2025-09-01!2025-08-31!2025-08-30!2025-08-29!2025-08-28!2025-08-27!2025-08-26!2025-08-25!2025-08-24!2025-08-23!2025-08-22!2025-08-21!2025-08-20!2025-08-19!2025-08-18!2025-08-17 !2025-08-16!2025-08-15!2025-08-14 !2025-08-13 !2025-08-12!2025-08-11!2025-08-10!2025-08-09!2025-08-08!20 !2025-11-03[ !2025-09-19. � g g �*[� 8 4 i}W indexsqlite_autoindex_sqlitemanager_tem��qtableWebGroupWebGroupCREATE TABLE "WebGroup" ("Id" INTEGER PRIMARY KEY AUTOINCREMENT NOT NULL UNIQUE, "GroupName" TEXT NOT NULL UNIQUE)/C indexsqlite_autoindex_WebGroup_1WebGroup/C indexsqlite_autoindex_WebGroup_2WebGroupP++Ytablesqlite_sequencesqlite_sequenceCREATE TABLE sqlite_sequence(name,seq) SWW�tablesqlitemanager_temp_table_825510291068sqlitemanager_temp_table_825510291068CREATE TABLE "sqlitemanager_temp_table_825510291068" ("Id" INTEGER PRIMARY KEY AUTOINCREMENT NOT NULL UNIQUE, "Domian" TEXT, "WwwMainWord" TEXT, "DingjiMainWord" TEXT, "MmainWord" TEXT, "TdkUnicode" TEXT, "GlobalUnicode" TEXT, "DefaulMb" TEXT, "BaiduMb" TEXT, "SogouMb" TEXT, "ShenmaMb" TEXT, "HaosouMb" TEXT, "KeyWordsKu" TEXT, "JuziKu" TEXT, "Tongji" TEXT, "PcAdUrl" TEXT, "WapAdUrl" TEXT, "AdType" INTEGER, "CustomJs" TEXT, "GroupId" INTEGER NOT NULL REFERENCES "WebGroup" ("Id"), "WapTempate" INTEGER) � � �� �� �T %%�ktableSpiderNumberSpiderNumberCREATE TABLE "SpiderNumber" ("Day" TEXT UNIQUE, "Baidu" INTEGER, "Sogou" INTEGER, "Haosou" INTEGER, "Shenma" INTEGER, "Googlebot" INTEGER, "Other" INTEGER, Bytespider INTEGER)7K% indexsqlite_autoindex_SpiderNumber_1SpiderNumber ��utableWebSiteWebSite CREATE TABLE "WebSite" ("Id" INTEGER PRIMARY KEY AUTOINCREMENT NOT NULL UNIQUE, "Domian" TEXT, "WwwMainWord" TEXT, "DingjiMainWord" TEXT, "MmainWord" TEXT, "TdkUnicode" INTEGER, "GlobalUnicode" INTEGER, "DefaulMb" TEXT, "BaiduMb" TEXT, "SogouMb" TEXT, "ShenmaMb" TEXT, "HaosouMb" TEXT, "KeyWordsKu" TEXT, "JuziKu" TEXT, "Tongji" TEXT, "PcAdUrl" TEXT, "WapAdUrl" TEXT, "AdType" INTEGER, "CustomJs" TEXT, "GroupId" INTEGER NOT NULL REFERENCES "WebGroup" ("Id"), "WapTempate" INTEGER, "CreateTime" DATE)-A indexsqlite_autoindex_WebSite_1WebSite ! N �����vZ>"����rS4����xW6 � � � � � k N ! !2025-09-06��y !2025-09-05!�a z� !2025-09-04� ��� !2025-09-03C�� !2025-09-02 ND x !2025-09-01Y\R� !2025-08-31*��� !2025-08-30;���7� !2025-08-29���c|& !2025-08-28J-3�o9� !2025-08-276_; &7 �� !2025-08-26�P0'w@ !2025-08-25 � �e%�� !2025-08-24I�'�) !2025-08-23v ��)�� !2025-08-22 � �� !2025-08-21�<�� !2025-08-20 GtG@ !2025-08-19 �rm �� !2025-08-18Ue �Z !2025-08-17b � � !2025-08-16 7 � � �V !2025-08-15;U, � !2025-08-14%D;` !2025-08-13 �=)_ � !2025-08-12�]% �R !2025-08-11Y � !2025-08-108+!o !2025-08-09/ ! 2025-08-08E !2020-12-30 !2019-10-29 !2020-11-03 ] ����oR5�����jM0����bE( � � � � z ] A !2025-10-08�)�@ !2025-10-07-��t�? !2025-10-06(g��Q> !2025-10-05(�q6D= !2025-10-04���h< !2025-10-03$- �; !2025-10-02'@ $,: !2025-10-014�� �/9 !2025-09-30Je��8 !2025-09-29Q0��R7 !2025-09-28Q� l�6 !2025-09-27y$���5 !2025-09-26y �4 !2025-09-25 ���o �3 !2025-09-24 �-{ ) l2 !2025-09-23 ��� D1 !2025-09-22rq6� �0 !2025-09-21R�� � X/ !2025-09-207�2j. !2025-09-194�c- !2025-09-182�t�, !2025-09-17BgE{y+ !2025-09-16B� � �* !2025-09-15U�B��) !2025-09-14? �u�( !2025-09-13:\eN' !2025-09-12=� ��& !2025-09-118�J> % !2025-09-105t8+Q$ !2025-09-096�gm�# !2025-09-089��Wt" !2025-09-07F�d�� -^ ��������zk\M>/ ��������{l]N?0!��������|m^O@1" � � � � � � � � �2025-10-02;!2025-10-01:!2025-09-309!2025-09-298!2025-09-287!2025-09-276!2025-09-265!2025-09-254!2025-09-243!2025-09-232!2025-09-221!2025-09-210!2025-09-20/!2025-09-19.!2025-09-18-!2025-09-17,!2025-09-16+!2025-09-15*!2025-09-14)!2025-09-13(!2025-09-12'!2025-09-11&!2025-09-10%!2025-09-09$!2025-09-08#!2025-09-07"!2025-09-06!!2025-09-05 !2025-09-04!2025-09-03!2025-09-02!2025-09-01!2025-08-31!2025-08-30!2025-08-29!2025-08-28!2025-08-27!2025-08-26!2025-08-25!2025-08-24!2025-08-23!2025-08-22!2025-08-21!2025-08-20!2025-08-19!2025-08-18!2025-08-17 !2025-08-16!2025-08-15!2025-08-14 !2025-08-13 !2025-08-12!2025-08-11!2025-08-10!2025-08-09!2025-08-08!2020-12-30!2020-11-03 ! 2019-10-29 M , � ��������yj[L=.>/ ��������{l]N?0! � � � � � � � ���������zk\M !2025-11-02Z!2025-11-01Y!2025-10-31X!2025-10-30W!2025-10-29V!2025-10-28U!2025-10-27T!2025-10-26S!2025-10-25R!2025-10-24Q!2025-10-23P!2025-10-22O!2025-10-21N!2025-10-20M!2025-10-19L!2025-10-18K!2025-10-17J!2025-10-16I!2025-10-15H!2025-10-14G!2025-10-13F!2025-10-12E!2025-10-11D!2025-10-10C!2025-10-09B!2025-10-08A!2025-10-07@!2025-10-06?!2025-10-05>!2025-10-04= �2025-12-01w!2025-11-30v!2025-11-29u!2025-11-28t!2025-11-27s!2025-11-26r!2025-11-25q!2025-11-24p!2025-11-23o!2025-11-22n!2025-11-21m!2025-11-20l!2025-11-19k!2025-11-18j!2025-11-17i!2025-10-03<!2025-10-02;!2025-10-01:!2025-09-309!2025-09-298!2025-09-287!2025-09-276!2025-09-265!2025-09-254!2025-09-243!2025-09-232!2025-09-221!2025-09-210!2025-09-20/ ! L ����wZ= ����rU9�����nQ4 � � � � � i L b !2025-11-10}g3a !2025-11-09o���` !2025-11-08o~���_ !2025-11-07E�}��^ !2025-11-06B3n�Z] !2025-11-05�UV�\ !2025-11-04)��7E[ !2025-11-03,����Z !2025-11-02'�� �Y !2025-11-01�T,@X !2025-10-31�a�{W !2025-10-30&�� �V !2025-10-29!���oU !2025-10-28#�QcT !2025-10-27.��9�S !2025-10-26+�m �R !2025-10-259�6 �Q !2025-10-2489� )iP !2025-10-23*�/�*O !2025-10-22@�G��N !2025-10-21I��'JM !2025-10-20D9 .L !2025-10-19C;1��K !2025-10-18= 2!J !2025-10-17F�y�^I !2025-10-16=D��4H !2025-10-15E�@6G !2025-10-14X� �y)F !2025-10-13E �0�E !2025-10-12D !2025-10-11+ ��8C !2025-10-10#_���B !2025-10-09�~ � U ����lO2����bE(����z]@# � � � � s U � !2025-12-12R� �� !2025-12-11@��� � !2025-12-10L� o /� !2025-12-09N����~ !2025-12-08\��/�} !2025-12-07J@ ��| !2025-12-06A,��{ !2025-12-05C��Q�z !2025-12-04<��My !2025-12-03B�� ��x !2025-12-02S�9!6w !2025-12-01ZL�pv !2025-11-30k�� � u !2025-11-29O��|�t !2025-11-28u� �Bs !2025-11-27T� M �r !2025-11-26n;��q !2025-11-25r��� mp !2025-11-24v&C@o !2025-11-23 ��� 2^n !2025-11-22gE��{m !2025-11-21 ��l5�l !2025-11-20 �g2�k !2025-11-19 ��@j !2025-11-18 �H�ji !2025-11-17c�V`�h !2025-11-16WD� �Ug !2025-11-15s���f !2025-11-14k5Fc�e !2025-11-13w�|�d !2025-11-12 �����c !2025-11-11 �d3� /4 ��������yj[L=.��������zk\M>/ ��������tdTD4 !2025-12-20 �!2025-12-19 �!2025-12-18 �!2025-12-17 �!2025-12-16 �!2025-12-15 �!2025-12-14 �!2025-12-13 �!2025-12-12 �!2025-12-11 �!2025-12-10 �!2025-12-09!2025-12-08~!2025-12-07}!2025-12-06|!2025-12-05{!2025-12-04z!2025-12-03y!2025-12-02x!2025-12-01w!2025-11-30v!2025-11-29u!2025-11-28t!2025-11-27s!2025-11-26r!2025-11-25q!2025-11-24p!2025-11-23o!2025-11-22n!2025-11-21m!2025-11-20l!2025-11-19k!2025-11-18j!2025-11-17i!2025-11-16h!2025-11-15g!2025-11-14f!2025-11-13e!2025-11-12d!2025-11-11c!2025-11-10b!2025-11-09a!2025-11-08`!2025-11-07_!2025-11-06^!2025-11-05]!2025-11-04\ ����hG' � !2025-12-200"�i�� !2025-12-19M/.q �c� !2025-12-18 �� ��+�� !2025-12-178�Kc� !2025-12-16� � � �!�� !2025-12-15Q �;� !2025-12-14X� �B�� !2025-12-138��